Contact Agent

Contact Dalzell Property (Lisburn)

Contact Dalzell Property (Lisburn)

Land (Single Dwelling)

For Sale - As A Whole Or In 2 Lots Building Site And Lands Totalling Approximately 17.0 Acres

Near 12 Halftown Road, Lisburn, BT27 5RD

offers around £300,000
  • Status For Sale
  • Property Type Land (Single Dwelling)
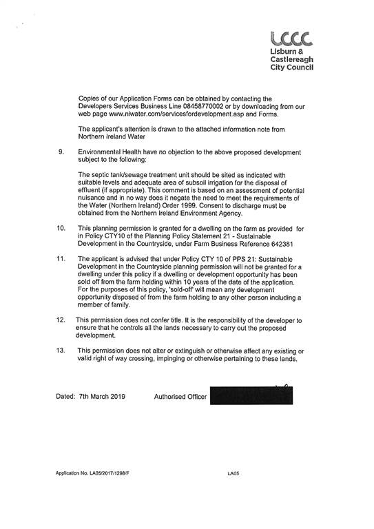
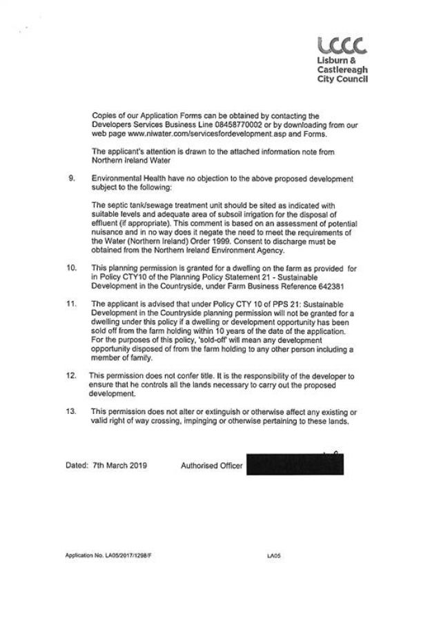
  • Stamp Duty
    Higher amount applies when purchasing as buy to let or as an additional property
    £5,000 / £20,000*
  • Typical Mortgage
    Click price to use our mortgage calculator

Description

A most conveniently located property with frontage unto the Halftown Road, bordering the River Lagan and near the junction of the Halftown Road and the Moira Road.
The property comprises of a building site with detailed planning permission (ref LA05/2017/1298/F) and agricultural lands.
There is a hardcore laneway leading to the lands.
We offer the property for sale as a whole or in two lots.

LOT 1 - Building Site of approximately 1 acre.
LOT 2 - Agricultural lands totalling approximately 16.0 acres.

Guideline Price
AS A WHOLE Offers Around £300,000
LOT 1 Offers Around £95,000
LOT 2 Offers Around £205,000

Property Location

Show Map

Mortgage Calculator

Disclaimer: The following calculations act as a guide only, and are based on a typical repayment mortgage model. Financial decisions should not be made based on these calculations and accuracy is not guaranteed. Always seek professional advice before making any financial decisions.

Directions

From the Moira Road turn left unto Halftown Road and the land and building site are on the right-hand side after approximately 300 metres - See For Sale boards

Contact Agent

Contact Dalzell Property (Lisburn)

Contact Dalzell Property (Lisburn)

Request More Information
Requesting Info about...
For Sale - As A Whole Or In 2 Lots Building Site And Lands Totalling Approximately 17.0 Acres, Near 12 Halftown Road, Lisburn, BT27 5RD For Sale - As A Whole Or In 2 Lots Building Site And Lands Totalling Approximately 17.0 Acres, Near 12 Halftown Road, Lisburn, BT27 5RD

By registering your interest, you acknowledge our Privacy Policy